10月24日,由省中医药管理局主办,省中医药研究院承办的第二届湖南省中医药经典知识竞赛线上初赛火热开赛。来自全省各高等院校、中医医院、综合医院、社区卫生服务中心、乡镇卫生院及个人诊所的3000余名中医药从业人员和爱好者踊跃参赛。
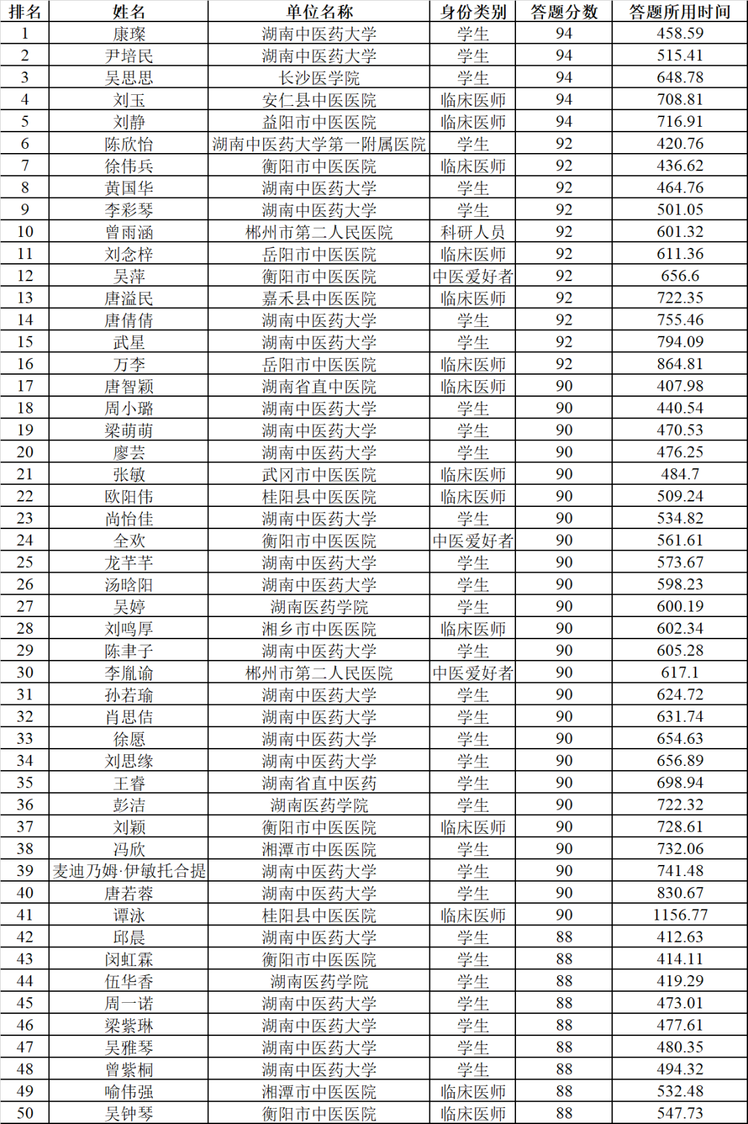
根据竞赛规则,对各参赛人员的答题得分和答题用时情况进行了统计,全省50强名单新鲜出炉。一起来看,有没有你的名字?
(温馨提示:近期工作人员会主动联系名单上的选手,确定证书和纪念品发放事宜,请耐心等待哦~)
第二届湖南省中医药经典知识竞赛
线上初赛50强名单

来源:湖湘中医
编辑:王媛媛
时刻新闻